新闻详情
嘉仪通霍尔效应测试仪在导电聚合物电特性测试的应用
- 分类: 行业知识
- 作者:管理员
- 来源:本站
- 发布时间:2025-12-18
- 访问量: 170
【概要描述】随着科技快速发展,聚合物导电材料正逐渐成为电子领域的新宠[1]。其中,PEDOT:PSS作为一种导电···
嘉仪通霍尔效应测试仪在导电聚合物电特性测试的应用
【概要描述】随着科技快速发展,聚合物导电材料正逐渐成为电子领域的新宠[1]。其中,PEDOT:PSS作为一种导电···
- 分类: 行业知识
- 作者:管理员
- 来源:本站
- 发布时间:2025-12-18
- 访问量: 170
随着科技快速发展,聚合物导电材料正逐渐成为电子领域的新宠[1]。其中,PEDOT:PSS作为一种导电聚合物复合材料,以其独特的性能和广泛的应用前景,引起了研究人员的极大关注。本文将重点介绍嘉仪通霍尔效应测试仪HET在PEDOT:PSS电特性性能测试中的应用。
PEDOT:PSS,由聚(3,4-乙烯二氧噻吩)(PEDOT)和聚苯乙烯磺酸(PSS)组成,是一种导电性能可调、透明、柔韧且具有水溶性与可加工性的材料[2]。这些特性使其在透明导电电极、抗静电涂层、柔性电子器件、生物医学应用以及能量存储器件等领域有着广泛的应用。
导电聚合物各种应用[1]
霍尔效应测试,作为一种测量材料载流子迁移率、载流子浓度、电导率等参数的方法,对于理解和优化PEDOT:PSS的电性能至关重要。通过霍尔测试,准确表征其电学性能对于材料优化与应用拓展具有重要意义。
Xiaoxue Wang等人[3]通过氧化化学气相沉积(oCVD)和溴化氢(HBr)处理制备了PEDOT薄膜。这种薄膜显示出极高的电导率和载流子迁移率,对于新一代电子器件的电极材料具有重要意义。
在这项研究中,霍尔效应测试被用来验证理论模型计算出的高载流子迁移率。结果显示,在300°C沉积的PEDOT薄膜中,载流子迁移率达到18.45 cm²·V-1·s-1,这是PEDOT薄膜中报道的最高值之一。这一发现不仅证明了PEDOT薄膜的优异性能,也为其在电子器件中的应用提供了强有力的支持。
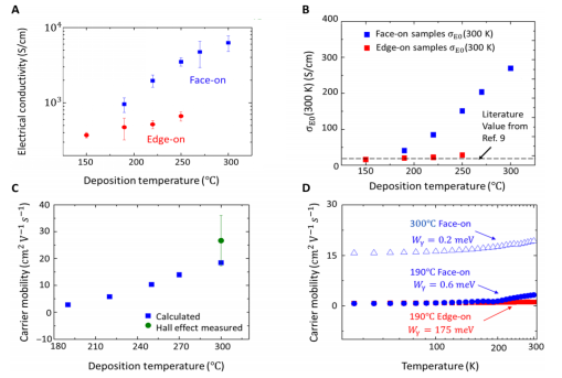
其中, 图1A、1D比较了不同结晶取向的PEDOT薄膜的室温电导率。结果显示,面朝下的薄膜(face-on)具有更高的电导率,这是由于其更高的载流子迁移率,这一结果同样通过霍尔测试得到了证实。图1B、1C等展示了不同温度下沉积的PEDOT薄膜的300K下的电导率、载流子迁移率。随着沉积温度的升高,载流子迁移率显著增加,这一趋势通过霍尔测试得到了准确反映。

图1
图2展示了PEDOT-Si肖特基二极管的结构及整流性能。这证明了PEDOT薄膜的金属特性,并展示了其在高频整流器中的应用潜力,这一发现也是基于霍尔测试的结果。
图2
这些数据图清楚地展示了霍尔测试在验证PEDOT薄膜高载流子迁移率方面的重要作用,以及这种材料在电子器件应用中的巨大潜力。
嘉仪通霍尔效应测试仪HET作为一种精确、可靠的测试工具,在导电聚合物特别是PEDOT:PSS的电学性能表征中发挥着关键作用。其不仅能够揭示材料的本征电学参数,还可指导材料合成与后处理工艺的优化,推动聚合物电子材料向高性能、多功能方向发展。随着测试技术的进一步完善与材料体系的创新,导电聚合物有望在下一代柔性电子、能源转换与存储等领域实现更广泛的应用。
参考文献:
[1] Namsheer K, Rout C S. Conducting polymers: a comprehensive review on recent advances in synthesis, properties and applications[J]. RSC advances, 2021, 11(10): 5659-5697.
[2] Yang Y, Deng H, Fu Q. Recent progress on PEDOT: PSS based polymer blends and composites for flexible electronics and thermoelectric devices[J]. Materials Chemistry Frontiers, 2020, 4(11): 3130-3152.
[3] Wang X, Zhang X, Sun L, et al. High electrical conductivity and carrier mobility in oCVD PEDOT thin films by engineered crystallization and acid treatment[J]. Science advances, 2018, 4(9): eaat5780.
扫二维码用手机看
在线留言
WRITE A MESSAGE TO US
热门资讯
- RTP快速退火炉在VCSEL激光器中优化欧姆接触的应用 2026-02-05 14:55:43
- 霍尔效应测试仪HET在PEDOTPSS-离子液体中电特性性能测试的应用 2026-01-29 11:31:28
- 深化产教融合,共育产业新才——中北大学考察调研嘉仪通 探讨校企协同育人新模式 2026-01-22 13:51:57
- 科技部、清华大学、中科院沈阳金属所等专家组团调研嘉仪通 精准指导企业科研攻关 2026-01-14 14:18:57
- 产学研携手,为热特性把脉——华中科技大学江普庆教授到访嘉仪通探讨热物性测量新技术 2026-01-06 15:23:35
- 对二维Xene材料进行霍尔效应测试 帮助深入理解电学特性 2025-12-31 15:58:42
我们的产品
公司多年来秉持互惠共赢的原则与全国各地客户开展贸易合作往来

